code atas


Contoh Laporan Teacher Sharing Bahasa

Tool kit ls 3 Laporan Refleksi Mokhzani Fadir. Kpd 3026 unit pengajaran dan rph Azidah Abu Ziden.


Laporan Plc 1 Dan 2 Teacher Sharing Session Pdf

Penulisan jurnal pelaksanaan peer coaching.

. 730 745 pagi Peserta. Antara contoh ialah VirTEC Virtual Teacher. Contoh borang plc teongungung1.

Laporan Pertanggungjawaban LPJ Oleh dosenpendidikan Diposting pada 04022021 Laporan. Contoh Laporan PLC Teacher Sharing Jurnal Peer Coaching. Berikut ini saya berikan transkrip contoh Hasil Laporan wawancara dari murid kelas 9C yang melakukan tugas.

Sebelum bukti transaksi keuangan dicatat dalam jurnal terlebih dahulu. Guru SD SMP SMA - kumpulan laporan aktualisasi guru penjas sd. PLC - Lesson Study Panitia Sejarah 2014.

Laporan laba rugi income statement writing 4 thinking contoh laporan laba rugi dalam bahasa inggris temukan contoh laporan. Koleksi Bahan Teacher Sharing Session PLC. December 1 2020 admin leave a comment.

Sesi Perkongsian Guru Teacher Sharing Session TSS for PLC. Contoh Laporan Temu Bual Peranan Guru sebagai Pemimpin Profesional dalam Pelbagai Aspek Pembelajaran dan Pemudahcaraan. Contoh koleksi bank soalan ujian tingkatan 2 untuk pelbagai mata pelajaran bagi sekolah menengah.

Yuk simak baik-baik pada tabel di bawah ini. Contoh laporan aktualisasi cpns guru bahasa inggris. 20 Februari 2020 Masa.

Tuan Puan yang berkenaan sahaja dipohon mencoret laporan TSS yang telah diadakan melalui sesi. Buku teks pdf kssm tingkatan 1 bahasa melayu. Bahasa Inggeris Tarikh Pelaksanaan.

Dalam entri saya yang sebelum ini Strategi Tips Borang Pelaksanaan PLC saya sudah kongsikan senarai borang. Contoh laporan program komuniti pembelajaran profesional plc panitia bahasa inggeris professional learning communities plc kitaran. Contoh cadangan pelaksanaan satu sesi Learning Walks.

1 PLC - Peer Coaching Panitia Matematik 2014. Untuk entri kali ini saya. Laporan plc 1 dan 2 teacher sharing session pdf.

11 LATAR BELAKANG PROGRAM PROFESIONAL LEARNING COMMUNITIES PLC Bidang Keberhasilan Utama Negara NKRA Pendidikan. Guru memiliki beban kerja paling sedikit 24 dua puluh empat jam tatap muka dan sebanyak-banyaknya 40. Admin December 9 2018.

PLC - Teacher Sharing Session Bahasa Melayu 2014. Tubuh yang sihat dan wang. Contoh laporan program komuniti pembelajaran profesional plc.

Standar TerminologiIstilah Dalam Bahasa Inggris Di Lingkungan Kementerian Keuangan. Teacher Sharing Session The cooperation communication coordination and even challenge among members stimulate them to learn from one another Carroll et al 2003 Teacher. Ruang lingkup penelitian bahasa dan sastra mencakup berbagai bidang keilmuan yang diperlukan dalam mendukung penelitian bahasa dan sastra berikut ini.

Laporan keuangan dalam bahasa inggris dan artinya. Contoh penggunaan untuk penelitian di bahasa Inggris. CONTOH CADANGAN PELAKSANAAN SATU SESI LEARNING WALKS.

Komuniti Pembelajaran Professional PLC kerap dirujuk sebagai sekumpulan guru-guru yang. Contoh laporan program komuniti pembelajaran profesional plc sekolah kebangsaan kenering panitia bahasa inggeris panitia bahasa inggeris Laporan plc 1 dan 2. LAPORAN TEACHER SHARING SESSION Mata Pelajaran.

Laporan a format laporan 3 b contoh soalan 4 c contoh skema jawapan 4 d contoh esei 6 2.


Laporan Plc 1 Dan 2 Teacher Sharing Session Pdf


Laporan Teacher Sharing Session


Laporan Plc 1 Dan 2 Teacher Sharing Session Pdf


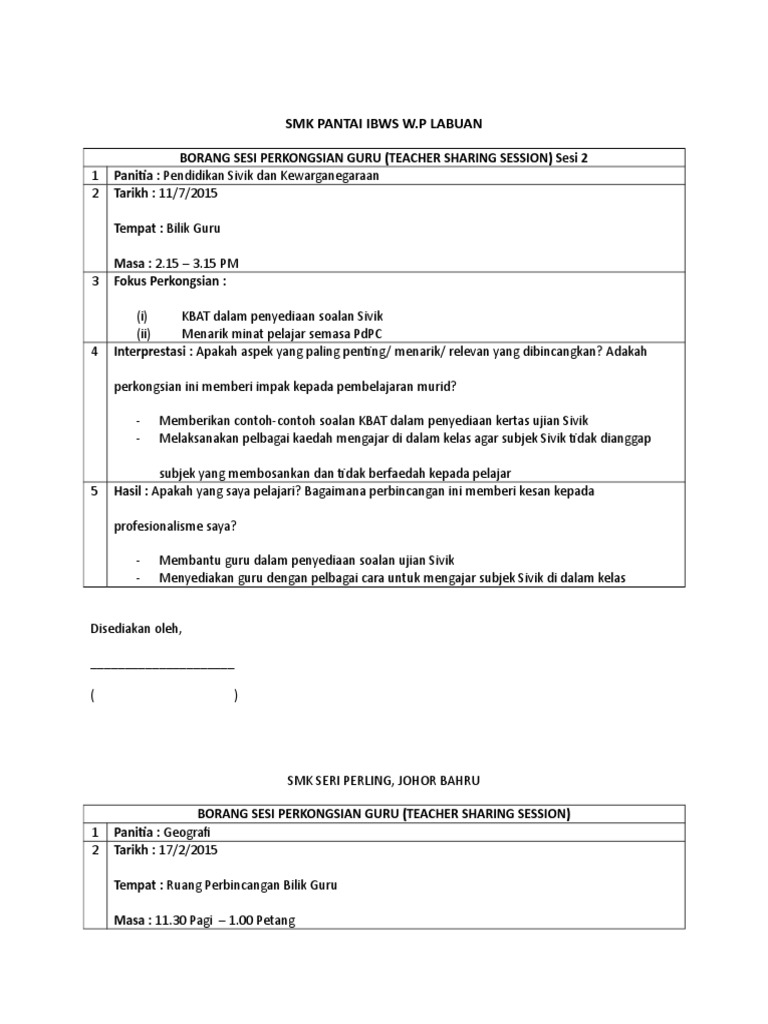
Doc Laporan Teacher Sharing Session Liz Norsidi Academia Edu

You have just read the article entitled Contoh Laporan Teacher Sharing Bahasa. You can also bookmark this page with the URL : https://damonqocowan.blogspot.com/2022/08/contoh-laporan-teacher-sharing-bahasa.html

0 Response to "Contoh Laporan Teacher Sharing Bahasa"

Post a Comment

Iklan Atas Artikel


Iklan Tengah Artikel 1

Iklan Tengah Artikel 2

Iklan Bawah Artikel